Latest News
DA for Bank Employees Hiked, Calculate hike in Salary
Connect with Us
The Government of India has increased Dearness Allowance (DA) for Bank Employees from May 2026 to July 2026.
| Index for Months | Index as per 2016 series |
|---|---|
| Jan 26 | 148.60 |
| Feb 26 | 148.50 |
| Mar 26 | 149.10 |
| Average | 148.73 |
| New DA Rate (over 123.03) | 25.70% |
| DA Rate for Previous Quarter | 25.00% |
| Increase | 0.70% |
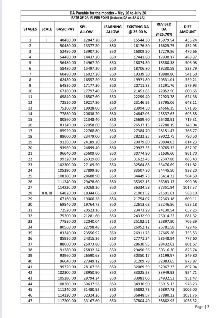
Accordingly, Dearness Allowance is payable to Officers is 25.70% slabs with effect from 01.05.2026. A few days ago, the Government of India had increased DA for Central government employees by 2%. Dearness Allowance (DA) of central government employees has been hiked by 2 per cent, taking the total DA from 58 per cent to 60 per cent of basic pay.
Advertisement
Salary Hike of Bank Employees
Bank Employees can use the below calculator to calculate hike in DA. Enter Basic Pay, Special Allowance and calculate DA. If you don’t know special allowance then you can search for it in image below.
DA Hike Calculator
Search for Basic Pay and Special Allowance in below image.
Advertisement

Advertisement
