Bank Employees DA Hiked by 2.80%: Dearness Allowance has been hiked for bank employees from November 2025. The DA has been hiked by 2.80%.
DA Payable for the Months – November 2025 to January 2026
| Index for Months | Index as per 2016 Series |
|---|
| July 2025 | 146.50 |
| August 2025 | 147.10 |
| September 2025 | 147.30 |
| Average | 146.96 |
| New DA Rate (over 123.03) | 23.93% |
| DA Rate for Previous Quarter | 21.13% |
| Increase | 2.80% |
Salary Hike Minimum and Maximum
| Increase in DA | Min (₹) | Max (₹) |
|---|
| Substaff | 700 | 1900 |
| Clerk/CSA | 1000 | 3400 |
| Scale I | 1750 | 4000 |
| Scale II | 2350 | 4600 |
| Scale III | 3100 | 4700 |
| Scale IV | 3760 | 5100 |
| Scale V | 4400 | 5600 |
| Scale VI | 5200 | 6300 |
| Scale VII | 5800 | 7000 |
Salary Hike
Bank Salary Hike DA Increase november 2025
Bank Salary Hike DA Increase november 2025
Bank Salary Hike DA Increase november 2025
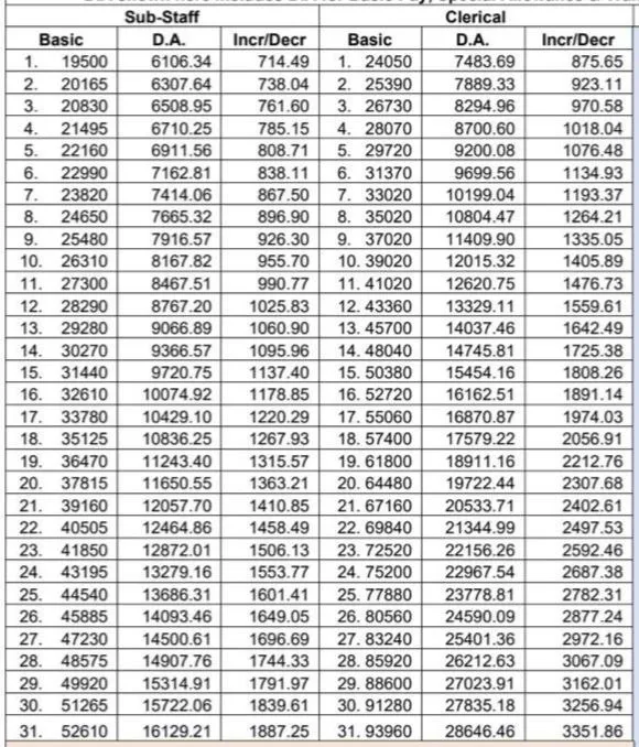
Bank Officers’ Salary Hike as per Basic Pay as per New DA Hike
| DA Payable for the months – Nov 25 to Jan 26 |
| RATE OF DA 1% PER POINT [includes DA on SA & LA] |
| STAGES | SCALE | BASIC PAY | SPL ALLOW | LEARNING ALLOW | EXISTING DA @ 21.13 % | REVISED DA @23.93% | DIFF AMOUNT |
| 1 | I | 48480.00 | 12847.20 | 850 | 13138.04 | 14879.00 | 1740.96 |
| 2 | | 50480.00 | 13377.20 | 850 | 13672.63 | 15484.43 | 1811.80 |
| 3 | | 52480.00 | 13907.20 | 850 | 14207.22 | 16089.86 | 1882.64 |
| 4 | | 54480.00 | 14437.20 | 850 | 14741.81 | 16695.29 | 1953.48 |
| 5 | | 56480.00 | 14967.20 | 850 | 15276.40 | 17300.72 | 2024.32 |
| 6 | | 58480.00 | 15497.20 | 850 | 15810.99 | 17906.15 | 2095.16 |
| 7 | | 60480.00 | 16027.20 | 850 | 16345.58 | 18511.58 | 2166.00 |
| 8 | | 62480.00 | 16557.20 | 850 | 16880.17 | 19117.01 | 2236.84 |
| 9 | | 64820.00 | 17177.30 | 850 | 17505.63 | 19825.36 | 2319.72 |
| 10 | | 67160.00 | 17797.40 | 850 | 18131.10 | 20533.71 | 2402.61 |
| 11 | | 69840.00 | 18507.60 | 850 | 18847.45 | 21344.99 | 2497.53 |
| 12 | | 72520.00 | 19217.80 | 850 | 19563.80 | 22156.26 | 2592.46 |
| 13 | | 75200.00 | 19928.00 | 850 | 20280.15 | 22967.54 | 2687.38 |
| 14 | | 77880.00 | 20638.20 | 850 | 20996.50 | 23778.81 | 2782.31 |
| 15 | | 80560.00 | 21348.40 | 850 | 21712.85 | 24590.09 | 2877.24 |
| 16 | | 83240.00 | 22058.60 | 850 | 22429.20 | 25401.36 | 2972.16 |
| 17 | | 85920.00 | 22768.80 | 850 | 23145.55 | 26212.63 | 3067.09 |
| 18 | | 88600.00 | 23479.00 | 850 | 23861.90 | 27023.91 | 3162.01 |
| 19 | | 91280.00 | 24189.20 | 850 | 24578.25 | 27835.18 | 3256.94 |
| 20 | | 93960.00 | 24899.40 | 850 | 25294.60 | 28646.46 | 3351.86 |
| 21 | | 96640.00 | 25609.60 | 850 | 26010.95 | 29457.73 | 3446.79 |
| 22 | | 99320.00 | 26319.80 | 850 | 26727.29 | 30269.01 | 3541.71 |
| 23 | | 102300.00 | 27109.50 | 850 | 27523.83 | 31171.10 | 3647.27 |
| 24 | | 105280.00 | 27899.20 | 850 | 28320.37 | 32073.19 | 3752.82 |
| 25 | | 108260.00 | 28688.90 | 850 | 29116.91 | 32975.28 | 3858.37 |
| 26 | | 111240.00 | 29478.60 | 850 | 29913.45 | 33877.37 | 3963.92 |
| 27 | | 114220.00 | 30268.30 | 850 | 30709.98 | 34779.46 | 4069.47 |
| 28 | II & III | 64820.00 | 18344.06 | 850 | 17752.17 | 20104.56 | 2352.39 |
| 29 | | 67160.00 | 19006.28 | 850 | 18386.54 | 20823.00 | 2436.46 |
| 30 | | 69840.00 | 19764.72 | 850 | 19113.08 | 21645.81 | 2532.73 |
| 31 | | 72520.00 | 20523.16 | 850 | 19839.62 | 22468.63 | 2629.01 |
| 32 | | 75200.00 | 21281.60 | 850 | 20566.17 | 23291.45 | 2725.28 |
| 33 | | 77880.00 | 22040.04 | 850 | 21292.71 | 24114.27 | 2821.56 |
| 34 | | 80560.00 | 22798.48 | 850 | 22019.25 | 24937.09 | 2917.84 |
| 35 | | 83240.00 | 23556.92 | 850 | 22745.79 | 25759.91 | 3014.11 |
| 36 | | 85920.00 | 24315.36 | 850 | 23472.34 | 26582.73 | 3110.39 |
| 37 | | 88600.00 | 25073.80 | 850 | 24198.88 | 27405.55 | 3206.67 |
| 38 | | 91280.00 | 25832.24 | 850 | 24925.42 | 28228.36 | 3302.94 |
| 39 | | 93960.00 | 26590.68 | 850 | 25651.96 | 29051.18 | 3399.22 |
| 40 | | 96640.00 | 27349.12 | 850 | 26378.51 | 29874.00 | 3495.50 |
| 41 | | 99320.00 | 28107.56 | 850 | 27105.05 | 30696.82 | 3591.77 |
| 42 | | 102300.00 | 28950.90 | 850 | 27912.92 | 31611.75 | 3698.83 |
| 43 | | 105280.00 | 29794.24 | 850 | 28720.79 | 32526.67 | 3805.88 |
| 44 | | 108260.00 | 30637.58 | 850 | 29528.66 | 33441.60 | 3912.93 |
| 45 | | 111240.00 | 31480.92 | 850 | 30336.54 | 34356.52 | 4019.99 |
| 46 | | 114220.00 | 32324.26 | 850 | 31144.41 | 35271.45 | 4127.04 |
| 47 | | 117200.00 | 33167.60 | 850 | 31952.28 | 36186.37 | 4234.09 |
| 48 | | 120180.00 | 34010.94 | 850 | 32760.15 | 37101.30 | 4341.15 |
| 49 | | 120560.00 | 34118.48 | 850 | 32863.17 | 37217.97 | 4354.80 |
| 50 | | 123160.00 | 34854.28 | 850 | 33568.02 | 38016.22 | 4448.20 |
| 51 | | 123920.00 | 35069.36 | 850 | 33774.06 | 38249.56 | 4475.50 |
| 52 | | 126140.00 | 35697.62 | 850 | 34375.89 | 38931.15 | 4555.25 |
| 53 | | 127280.00 | 36020.24 | 850 | 34684.95 | 39281.15 | 4596.21 |
| 54 | | 130640.00 | 36971.12 | 850 | 35595.83 | 40312.75 | 4716.91 |
| 55 | IV & V | 102300.00 | 31201.50 | 850 | 28388.47 | 32150.31 | 3761.84 |
| 56 | | 105280.00 | 32110.40 | 850 | 29210.20 | 33080.93 | 3870.73 |
| 57 | | 108260.00 | 33019.30 | 850 | 30031.92 | 34011.54 | 3979.62 |
| 58 | | 111240.00 | 33928.20 | 850 | 30853.65 | 34942.16 | 4088.51 |
| 59 | | 114220.00 | 34837.10 | 850 | 31675.37 | 35872.77 | 4197.40 |
| 60 | | 117580.00 | 35861.90 | 850 | 32601.88 | 36922.05 | 4320.17 |
| 61 | | 120940.00 | 36886.70 | 850 | 33528.39 | 37971.33 | 4442.95 |
| 62 | | 124300.00 | 37911.50 | 850 | 34454.89 | 39020.62 | 4565.72 |
| 63 | | 127660.00 | 38936.30 | 850 | 35381.40 | 40069.90 | 4688.50 |
| 64 | | 127980.00 | 39033.90 | 850 | 35469.64 | 40169.83 | 4700.19 |
| 65 | | 131340.00 | 40058.70 | 850 | 36396.15 | 41219.11 | 4822.96 |
| 66 | | 131660.00 | 40156.30 | 850 | 36484.39 | 41319.05 | 4834.66 |
| 67 | | 135020.00 | 41181.10 | 850 | 37410.90 | 42368.33 | 4957.43 |
| 68 | | 135340.00 | 41278.70 | 850 | 37499.14 | 42468.26 | 4969.12 |
| 69 | | 139020.00 | 42401.10 | 850 | 38513.88 | 43617.47 | 5103.59 |
| 70 | | 143020.00 | 43621.10 | 850 | 39616.87 | 44866.62 | 5249.75 |
| 71 | | 147020.00 | 44841.10 | 850 | 40719.86 | 46115.77 | 5395.91 |
| 72 | | 151020.00 | 46061.10 | 850 | 41822.84 | 47364.91 | 5542.07 |
| 73 | VI &VII | 140500.00 | 44257.50 | 850 | 39218.86 | 44415.87 | 5197.01 |
| 74 | | 144500.00 | 45517.50 | 850 | 40330.30 | 45674.59 | 5344.29 |
| 75 | | 148500.00 | 46777.50 | 850 | 41441.74 | 46933.31 | 5491.57 |
| 76 | | 152500.00 | 48037.50 | 850 | 42553.18 | 48192.03 | 5638.85 |
| 77 | | 156500.00 | 49297.50 | 850 | 43664.62 | 49450.75 | 5786.13 |
| 78 | | 160500.00 | 50557.50 | 850 | 44776.05 | 50709.46 | 5933.41 |
| 79 | | 160840.00 | 50664.60 | 850 | 44870.53 | 50816.46 | 5945.93 |
| 80 | | 164500.00 | 51817.50 | 850 | 45887.49 | 51968.18 | 6080.69 |
| 81 | | 165180.00 | 52031.70 | 850 | 46076.44 | 52182.16 | 6105.73 |
| 82 | | 168840.00 | 53184.60 | 850 | 47093.40 | 53333.89 | 6240.49 |
| 83 | | 169520.00 | 53398.80 | 850 | 47282.35 | 53547.87 | 6265.53 |
| 84 | | 173860.00 | 54765.90 | 850 | 48488.26 | 54913.58 | 6425.33 |
| 85 | | 178200.00 | 56133.00 | 850 | 49694.17 | 56279.29 | 6585.12 |
| 86 | | 182540.00 | 57500.10 | 850 | 50900.08 | 57645.00 | 6744.92 |
| 87 | | 186880.00 | 58867.20 | 850 | 52105.99 | 59010.71 | 6904.72 |
| | PQP I | | 1370.00 | | 289.48 | 327.84 | 38.36 |
| | PQP II | | 3425.00 | | 723.70 | 819.60 | 95.90 |
| | PQP III | | 5480.00 | | 1157.92 | 1311.36 | 153.44 |
Related Articles
-
Basic Pay of PSU Insurance Officers hiked to Rs 82485, Check New Basic Pay and Allowance of Officers
-
NABARD salary hiked 20%, Check New salary
-
Goldman Sachs CEO Gets 21% Pay Hike in 2025, Check His Salary
-
Breaking! Salary of PSU Insurance Employees Hiked by Govt
-
IBPS PO vs LIC AAO Salary Comparison, Who pays more Salary?
-
LIC AAO Salary 2025: Latest Salary Slip, Basic Pay, Gross and Net Salary
-
IBPS SO Salary Slip 2025, Latest Basic Pay, Allowances, Job Benefits
-
How much salary will increase in 8th Pay Commission? Check Post wise Hike in Basic Salary
-
Salary of MD&CEO of J&K Bank; Check Salary, Allowances of MD, ED, Director
-
Salary of MLAs, ministers hiked in Uttar Pradesh, Check new salary, pension, allowances
-
Salary of MD&CEO of IndusInd Bank, Check Salary and Allowances
-
Salary of MD&CEO of Federal Bank; Check Salary, Allowance and other details